超高温材料是指在应力、氧化、烧蚀等严苛环境中,以及约在2000℃及以上超高温状态下仍能正常使用的耐热尖端材料。如在材料学领域,从服役环境温度的角度,将在1800℃时仍具有超过200 MPa强度的高温高熵合金称为超高温高熵合金[1]。随着航空航天技术的发展,部分结构部件对材料耐高温性能提出了更为严苛的要求。例如,超音速飞行器在稠密的大气中飞行时,飞行器前端温度会随飞行速率增加而急剧上升,当飞行速率达到8 Ma时,头锥部分温度将升高到接近2000℃[2]。又如,对于推重比高达15~20的发动机的涡轮叶片,其使用温度已接近1900℃。传统镍基单晶高温合金的熔点为1400~1500℃,已无法满足服役要求[3]。对于传统难熔合金,如钨合金、钼合金等,尽管其具有较高熔点,但在2000℃时抗拉强度均低于100 MPa[4]。因此,迫切需要寻找并开发新型的超高温材料,使其在高温仍能保持较高的强度,满足极端环境下的服役要求;同时在室温具有较好的成型能力,以满足复杂精密结构的加工要求。
众所周知,金属材料的强度和塑性存在着本征的倒置关系,即材料强度的提高往往伴随着塑性或韧性的下降,2者之间一般呈现出此消彼长的反向制约关系。在材料软化行为发生前,从室温到高温该倒置关系均广泛存在。因此,对于传统金属材料,协同提高材料的强度和塑性一直是材料科学领域持续研究的热点和难点问题。超高温材料面临着更大的挑战:如何在保持高温优异力学性能的同时,还能兼顾优异的室温塑性和加工成型能力,相比于室温的强度与塑性之间的倒置关系,这2者更加难以协调。
近年来具有bcc结构的难熔高熵合金引起了材料界的广泛关注,其由多种难熔元素以等原子或近等原子比成分混合而成[5~8]。某些bcc结构难熔高熵合金在高温区间表现出较高的强度,甚至优于传统镍基高温合金。例如,等原子比的NbMoTaW和NbMoTaWV高熵合金在 1600℃的压缩屈服强度分别高达 405和 477 MPa[9],HfNbTaTiZr 高熵合金在 1200℃具有92 MPa的屈服强度[10]
。尽管难熔高熵合金表现出优异的高温强度,但是,其在未来使用中仍面临2个主要问题:一方面,多数难熔高熵合金在室温表现出严重脆性,例如,NbMoTaW高熵合金的室温压缩断裂应变不足3%,这为材料的室温成型带来了极大困难。尽管通过引入合金元素(如Ti[11]、Zr[12])或者添加B和C等轻质元素[13],能够在一定程度上提高NbMoTaW高熵合金的室温压缩塑性,但这同时也增加了合金设计的复杂程度和批量熔炼及加工制备的难度。另一方面,通常合金材料在温度高于(0.5~0.6)Tm (Tm为熔点)时会出现软化现象,即强度急剧下降。难熔高熵合金主元个数较多,为了提高其室温塑性,往往含有熔点相对较低的元素,如Ti (1660℃)、Zr (1852℃)等,无法避免在2000℃及以上超高温时潜在的材料软化行为。最近的研究[14]表明,在难熔高熵合金基体中引入共晶碳化物能够显著提高材料的高温强度,制备出的Re0.5MoNbW(TaC)x合金在1200℃具有1.08 GPa的压缩屈服强度,同时在室温具有8.5%的压缩塑性,这为超高温难熔高熵合金的设计提供了新思路。
针对上述问题,本工作选择了以Ta为基体添加W元素的Ta-W合金,该体系的优势主要表现在以下3个方面:首先,Ta和W的熔点分别为2996和3410℃,2者所形成的置换式连续固溶体合金均具有超过3000℃的高熔点,可望在超高温下仍能保持相当的抗压强度。早期开发的商用Ta-W合金中W含量较低,通常不超过 15% (原子分数,下同),获得的高温强度较低[15,16],如 Ta-10W 合金 2000℃时的抗拉强度仅在100 MPa左右[17,18]。而适当增加W含量有望进一步提高高温力学性能,但面临可能带来其室温塑性显著降低的问题[15,16]。其次,Ta具有远低于室温的韧脆转变温度,相比于难熔高熵合金超过4种以上的主元配比,Ta-W二元体系更为简单,且有较为成熟的熔炼与热加工成型工艺作为参考,从而降低了在多维成分空间中搜索合金成分与制备的复杂程度,能够以更短的时间和成本获得具有更为优异力学性能的合金。基于以上考虑,本工作设计并制备了 W 含量分别为 10%、20%、30%、40%和50%的Ta-W合金,测试了该合金体系的室温和2000℃高温压缩性能,以评估其在高温强度和室温塑性方面的潜力。
1 实验方法
1.1 样品制备
制备Ta-W合金的原料为高纯W块(99.9%)和Ta块(99.9%),在Ar气保护气氛下通过电弧熔炼使原料熔化,每种合金样品在电磁力的搅拌下反复翻转熔炼10次以保证成分均匀性,分别熔炼出不同W含量的 Ta-W 合金 ,即 Ta-10%、Ta-20%W、Ta-30%W、Ta-40%W 和 Ta-50%W。熔炼后在 600℃下对铸锭进行15 h的均匀化退火。
1.2 微观组织表征
为观察合金的微观组织,试样先后经过机械抛光和电解抛光处理,其中电解液的体积成分配比为H2SO4∶HF∶C2H5OH = 7∶3∶4,电压和电流强度分别为 30 V 和 0.6 A。采用配有 Cu 靶的 D8 ADCANCE型X射线衍射仪(XRD)分析Ta-W合金的相组成,扫描角度为10°~120°,扫描速率0.2°/s。使用配有能谱(EDS)探头的EVO 10型扫描电子显微镜(SEM)观察合金的微观组织。采用Image J软件得到其平均晶粒尺寸。
1.3 力学性能测试
为了保证压缩测试的稳定性,压缩测试采用哑铃状试样,标距段尺寸为直径3 mm × 4.5 mm,如图1所示。利用Instron 5969电子万能材料试验机测试合金室温下的压缩性能,应变速率为3 × 10-4 s-1。利用 ZwickRoell Kappa 蠕变试验机测试高温压缩性能,试样安装在真空高温炉内,抽真空至1 Pa以下后通Ar气,采用辐射加热的方式以平均约35℃/min的速率升温,达到目标温度后保温10 min后进行压缩实验测试,应变速率约为 10-3 s-1。不同成分的合金至少使用2个样品进行测试,以保证测试结果的有效性。

2 实验结果
2.1 合金样品及相组成
图 2 为电弧熔炼并经退火后的不同 W 含量的Ta-W合金锭。可以看到,样品表面光亮平整,无表面裂纹和孔隙。图 3a 为不同 W 含量 Ta-W 合金的XRD 谱。可见,该系列合金形成了单相组织,具有bcc 结构。随着 W 含量的增加,衍射峰逐渐向高角度偏移。根据XRD结果获得了不同合金样品的晶格常数,如图3b所示。可见,随着W含量的升高,合金的晶格常数逐渐下降。W含量分别为10%、20%、30%、40%和50%时样品的晶格常数分别为0.3292、0.3279、0.3265、0.3250和0.3231 nm。
对于 Hume-Rothery 固溶体[19~21],合金的理论晶格常数(amix)可以用Vegard定律估算[20]:
![]()
式中,ai和ci分别为单质金属i的晶格常数和原子浓度。计算得到的 5 种 Ta-W 固溶体的理论晶格常数与实验结果较为一致,如图3b所示。图3表明Ta和W元素在原子尺度上实现了充分混合。


2.2 微观组织
不同 W 含量 Ta-W 合金微观组织的 SEM 像和EDS 面扫描结果如图 4 所示。Ta-W 合金以等轴晶为主,少量晶粒呈现粗大的柱状晶形貌。随着W含
量的增加晶粒尺寸显著减小,Ta-10%W、Ta-20%W、Ta-30%W、Ta-40%W 和 Ta-50%W 合金的平均晶粒尺寸分别为427、313、276、255和190 μm。利用EDS表征了合金中Ta和W的元素分布,未发现第二相或者微观成分偏析,表明该合金形成了Ta和W均匀互溶的单相固溶体组织。
2.3 室温和高温的压缩性能
图 5a 为不同 W 含量 Ta-W 合金室温压缩的工程应力-应变曲线。可以看出,Ta-W 合金的室温压缩强度随着 W 含量的增加而逐步升高。其中,Ta-10%W 和 Ta-20%W 合金的屈服强度分别达到 599和836 MPa。而进一步增加W含量,样品屈服强度继续增加的幅度并不显著,Ta-30%W、Ta-40%W 和1030 MPa (表1)。同时,Ta-W合金的压缩塑性也与W含量密切相关,对于Ta-10%W和Ta-20%W合金,当压缩应变超过40%以上时样品仍未断裂,表现出较好的室温压缩塑性。但是,随着W含量的进一步增加,特别是 Ta-40%W 和 a-50%W 合金的压缩断裂应变显著降低。
图5b为不同W含量Ta-W合金在2000℃下压缩的工程应力-应变曲线。可见,随着 W 含量从 10%增加到50%,合金的压缩屈服强度分别为162、236、330、385 和 369 MPa (表 1)。高温下不同 W 含量的合金均具有很好的压缩塑性,压缩应变超过20%时样品均未断裂。此外,在温度和应力诱发下,高温压缩变形后合金的晶粒发生明显长大。以 Ta-20%W为例,其晶粒平均尺寸由初始313 μm增大到变形后的580 μm。
由表1可见,W含量的增加能够有效提高Ta-W合金的强度。当W含量超过20%后,室温和高温强度的增加较为有限。Ta-W 合金的拉伸性能仅 Ta-10%W有数据,其室温拉伸屈服强度为471 MPa[22],比本工作测试的压缩强度低128 MPa,表明Ta-W合金有可能表现出一定的拉压不对称性。
图5c对比了不同温度下本工作的Ta-W合金及文献中 Ta-W 合金[23]与现有主要难熔高熵合金[9,24~29]和镍基高温合金[30]的压缩(拉伸)屈服强度。可以看
出,商用镍基高温合金在温度超过1200℃已失去强度,无法满足更高温度的服役要求。由于当前开发的难熔高熵合金体系较多,本工作仅选择了几个典型的难熔高熵合金用以对比,包括室温强度最高的AlMo0.5NbTa0.5TiZr[29]、室温塑性较好的HfNbTaTiZr[28]以及高温强度最高的NbMoTaW(V)[9]
。大多数难熔高熵合金,如 AlMo0.5NbTa0.5TiZr 和 HfNbTaTiZr,在
1300℃时屈服强度已低于200 MPa,只有NbMoTaW和 NbMoTaWV 合金仍能保持较高的高温压缩强度,其在 1600℃压缩强度超过 400 MPa。相比之下,本工作的 Ta-W 合金表现出更为优异的高温力学性能,其在2000℃下仍能具有高于200 MPa的压缩强度,可望媲美甚至超过目前高温性能最优异的NbMoTaW(V)难熔高熵合金(其 2000℃及以上温区的性能尚未见报道)。而且,相比于难熔高熵合金室温压缩塑性不足3%的局限性,本工作的Ta-W合金能兼具相当的室温加工性能。例如,Ta-20%W合金在室温能够承受超过40%的压缩应变,并可以机
加工(见图5a)。


3 分析讨论
如上所示,W的添加能够有效提高Ta-W合金室温和高温的压缩强度。下面分析Ta-W合金的强化机制,揭示W对Ta-W合金压缩强度的影响规律。
3.1 晶界强化机制
如图4所示,W能够起到细化Ta-W合金晶粒的作用。晶界强化对屈服强度的贡献(σd)可以采用Hall-Petch公式[31]计算,如下式:
![]()
式中,k为Hall-Petch系数,取值为14 MPa·mm1/2 [32];d为平均晶粒尺寸。根据图 4 所示获得的不同 Ta-W合金的晶粒尺寸,发现随着 W 含量从 10% 增加到50%,σd仅分别为 21.4、25.0、26.6、27.7 和 32.1 MPa。由此可见,由于晶粒尺寸较粗大,晶界强化对5种合金强度的贡献极为有限,晶界强化并不是Ta-W合金的主要强化机制。
3.2 固溶强化机制
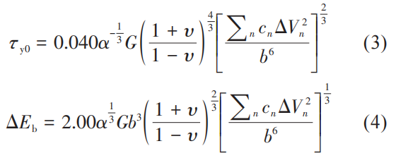
除了晶界强化,另一个强化机制为固溶强化。采用基于位错理论的固溶体强化模型[33~35]来预测不同组分Ta-W合金的屈服强度。该模型假设单个溶质原子与合金中的位错发生弹性交互作用,对于含有n个元素,浓度为cn的合金,在温度0 K下非热激活的剪切屈服应力(τy0)和能垒(ΔEb)分别为[34]:

式中,G和ν分别代表剪切模量和Poisson比,α = 1/12 是 bcc 结构晶格中位错线张力的加权系数,b 为Burgers矢量模,ΔVn是元素n的原子失配体积[36]。在温度 T 和应变速率 ε 下 ,理论预测的屈服应力(τy)为[34]:

式中,ε0 = 104 s-1 是参考应变率,M (= 3.06)为多晶体强度的 Taylor 系数。表 1 给出了 Ta-W 合金在 25 和2000℃下压缩屈服强度的理论预测值。图6比较了理论预测和实际测试的压缩屈服强度,虚线为理论与实验测试相等的参考线,在虚线以下区域对应实验测试数值大于理论预测数值,反之虚线以上的区域对应实测数值小于理论预测数值。可以看出,在温度为25和2000℃下,理论预测的合金压缩屈服强度随着W含量的增加而增大,该预测趋势与实验测试符合较好。而且,随着W含量增加到20%以上,模型预测的合金强度的提升并不显著,这与实验观察结果一致。值得注意的是,该理论模型预测的屈服强度比实验值低约 100 MPa。这可能来自以下2方面原因:一方面,该模型基于位错理论主要考虑固溶效果对强度的贡献,并假设螺型位错不受扭折形核的影响,与刃型位错滑移类似。这对于高熵合金是适用的,因为在高熵合金中局域较大的晶格畸变能够诱发螺型位错线上扭折的自发形核[37]。但是,对于本工作的Ta-W二元合金,由于Ta和W的尺寸接近,并不易于发生扭折的自发形核,因此,类似于传统bcc合金,需要额外的应力诱发扭折的形核;另一方面,实验中熔炼的Ta-W合金中存在微量的O、N、C等杂质,例如,对于商用的Ta-10%W,其室温压缩强度与本工作样品相当,化学分析表明该商用合金含有的主要杂质 O、N 和 C 质量分数分别为 20 ×10-6、37 × 10-6和6 × 10-6。这些杂质元素易于偏聚在位错周围,对位错产生一定的钉扎作用,从而有可能产生额外的强化作用[13]。
4 结论
本工作设计并通过电弧熔炼制备了系列Ta-W合金(W 含量为 10%~50%),该合金为单相的 bcc 结构固溶体。随着W含量的增加,Ta-W合金的晶格常数和晶粒尺寸逐渐减小。W含量的增加显著提高了Ta-W合金的室温和高温压缩强度。Ta-20%W合金2000℃的压缩屈服强度超过 200 MPa,且兼具较好的室温压缩塑性和成型能力。该合金体系有望作为新一代超高温承载材料,应用于制备航空航天的关键承载耐高温部件。
论文引用信息
金属学报 第58卷 第10期 2022年10月
钽钨合金是一种高密度的材料,具有较高的熔点、较高的抗拉强度、良好的动态延展性和耐腐蚀性等特点,应用于化工防腐蚀,机械,航空航天以及军工领域。
星尘科技生产的球形Ta-10W合金粉采用射频等离子体球化工艺制成,具有高纯低氧、球形度高、表面光滑、无卫星、粒度分布均匀、流动性能优良、松装密度和振实密度高等特点。
https://zh-cn.stardustpowder.com/spherical-ta-alloy-powder

更多难熔金属球形粉末产品,欢迎联系张经理 13318326185
